백준 1948 임계경로

문제

DAG 에서 최장경로를 찾아라

풀이

DAG Longest path

참고

최단 경로 문제에서 탐욕적 방법이나 동적계획법을 사용할 수 있던 이유는 최단 경로가 최적부분구조를 가지고 있기 때문이다. 최단경로에서 두 정점 간의 부분경로는 반드시 최단경로여야 한다.

그러나 최장경로문제에서는 최적부분구조가 성립하지 않기 때문에 동적계획법이나 탐욕적 방법을 사용할 수 없다.

하지만 다행히도 DAG에서의 최장경로는 최적부분구조를 만족한다.

🐱 DAG는 항상 위상정렬할 수 있다.

image-20190728120914877

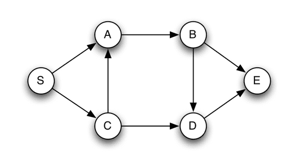
dist(v)dist(v) 를 S에서 v까지의 최장거리라고 하고 α(v)\alpha(v) 를 실제 경로라고 하자. 그러면 dist(D)dist(D) 를 다음과 같이 쓸 수 있다.

dist(D)=max{dist(B)+1,dist(C)+1}dist(D)=max\{dist(B)+1, dist(C)+1\}

여기서 subproblem은 dist(B)dist(B)dist(C)dist(C) 로 둘 다 dist(B)dist(B) 보다 짧다. 당연히

이처럼 dist(B)dist(B)dist(C)dist(C) 도 다음과 같은 부분문제로 표현할 수 있다.

dist(B)=dist(A)+1dist(B)=dist(A)+1

dist(C)=dist(S)+1dist(C)=dist(S)+1

들어오는 간선이 없는 정점은 empty set에 대한 최댓값을 취하므로 당연히 답은 0이다.

dist(S)=0dist(S)=0

α(S)={S}\alpha(S)=\{S\}

DAG G에 대하여 dist(B)=3이고 dist(C)=1이므로 dist(D)=max{3+1, 1+1}=4 이고 이에 해당하는 실제 경로는

α(D)=α(B){D}={S,C,A,B,D}\alpha(D)=\alpha(B)\cup \{D\}=\{S, C,A,B,D\}

따라서 S에서 임의의 정점 v까지의 최단 경로는

dist(v)=max(u,v)E{dist(u)+1}dist(v)=max_{(u,v)\in E}\{dist(u)+1\}

따라서 시간복잡도는 당연히 O(V+E)O(|V|+|E|)


[jungin]
Written by@[jungin]
안녕하세요

GitHub